Lubricant automotive, kinematic and absolute viscosity part 1

Halo sobat, dalam pertemuan kali ini saya ingin berbagi tentang lubricant automotive, atau lebih dikenal dengan pelumasan kendaraan. Tentunya ada sintag yang berurutan untuk mempelajarinya, langsung saja ya penjelasannya..

Deskripsi singkat: sifat-sifat pelumas dan metode pengujiannya

Learning outcome: siswa dapat menjelaskan macam-macam sifat yang dimiliki oleh pelumas dan bagaimana pengujiannya dilakukan

relevansi: siswa dapat melaksanakan prosedur pelumasan yang efektif pada suatu unit alat berat

Sifat Pelumas dan Metode Pengujiannya

Viscosity

Defisisi dari viskositas adalah sebuah ukuran penolakan cairan terhadap perubahan bentuk di bawah tekanan geser atau penolakan cairan terhadap penuanganBerdasarkan cara pengukurannya, viskositas dibagi menjadi dua cara pandang:
  1. Kinematic viscosity
  2. Absolute viscosity
 
1. Kinematic viscosity
      Yang dimaksud dengan viskositas kinematik adalah ukuran rata-rata yang menunjukkan penolakan cairan terhadap penuangan / terhadap mengalirnya suatu fluida. Sedangkan definisi umumnya adalah kental atau encernya suatu fluida yang diukur dengan parameter waktu alir suatu fluida dari titik A ke titik A’.

Viskositas kinematik @ T°C = t x K

Satuan = cSt (centistokes) dengan

t = waktu alir,

K = konstanta labu,

T = temperature pengukuran

 2. Absolute viscosity
          Yang dimaksud dengan viskositas absolute adalah ukuran penolakan cairan terhadap perubahan bentuk dibawah tegangan geser, dan perbandingan tegangan geser dengan perubahan kecepatan terhadap perubahan ketebalan pelumas.


 Gambar. absolute viscosity
 
Hubungan antara viskositas kinematik dengan viskositas absolute dapat ditunjukkan dengan diagram berikut ini :

 Gambar. hubungan kkinematic dan absolute viscosity


 3. Index Viscosity
            Yang dimaksud dengan viskositas index adalah besarnya angka atau index yang menunjukkan ketahanan perubahan viskositas pelumas terhadap perubahan temperature.
           Jika angka viskositas indexnya besar, pengaruh perubahan temperature terhadap perubahan viskositasnya rendah (stabil). Sedangkan jika angka viskositas indexnya kecil, maka pengaruh perubahan temperature terhadap perubahan viskositasnya tinggi (labil)
         Standard temperature yang digunakan untuk mengukur viskositas index adalah 40°C dan 100°C. pelumas yang mempunyai viskositas index tinggi tidak banyak mengalami perubahan. Metode perhitungan viskositas index berdasarkan ASTM D2270 (IP 226)
  
berikut grafik pengaruh viskositas index pada pelumas


 Gambar. grafik pengaruh index viscosity pada pelumas

  • SAE 10 lebih encer dibanding SAE 40 
  • SAE 50 lebih kental dibanding SAE 40
  • SAE 10W-40 lebih encer dibanding SAE 40 pada temperatur rendah
  • SAE 10W-40 sama encer dibanding SAE 40 pada temperatur tinggi
kode W(winter) sebagai indikasi kekentalan pada temperatur rendah. Artinya SAE 10W-40 lebih mudah untuk starting daripada SAE 40, dan SAE 10W-40 berarti memiliki viskositas index yang lebih tinggi daripada SAE 40.

 4. Menentukan index viscosity
 
Berikut ini rumus untuk menghitung viskositas kinematik pada temperature 40°C dan 100°C. untuk index viscosity <100:
dimana:
L = harga viskositas kinematik dasar, pada 40°C

H = harga viskositas kinematik dasar , pada 100°C

U = V40 : viskositas kinematik pada 40°C (cSt)

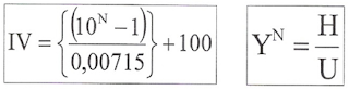
sedangkan untuk index viscosity >100:
dimana:

Y = V100 : viskositas kinematik pada 100°C (cSt)

N = eksponen

H = harga viskositas kinematik dasar pada 100°C

U = viskositas kinematik pada 40°C (cSt)





 #########################################


 sementara segitu dulu ya, untuk lebih lanjut akan saya posting dilain waktu :)





Komentar

Postingan populer dari blog ini

merawat aki pada mobil toyota

Inilah 6 Standar Gambar (JISC, NNI, DIN, SNI, ANSI, ISO) dan 10 Peralatan Dasar Gambar Teknik

Pencegahan Avian Influenza